基本信息:
中文名稱 白皮杉醇
中文別名 3''-羥基白藜蘆醇;3,4,3'',5''-四羥基-反式-二苯乙烯;4-[2-(3,5-二羥基苯基)乙烯基]-1,2-苯二酚;(E)-3,3'',4,5''-四羥基苯乙烯;(E)-4-[2-(3,5-二羥基苯)乙烯基]-1,2-苯二酚;
英文名稱 piceatannol
英文別名 Piceatannol;3,3'',4,5''-Tetrahydroxy-trans-stilbene;(E)-4-[2-(3,5Dihydroxyphenyl)ethenyl]1,2-benzenediol;(E)-4-(3,5-Dihydroxystyryl)benzene-1,2-diol;
CAS號(hào) 10083-24-6
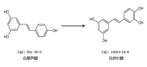
合成路線:
1.通過2-甲氧基-4-乙烯苯酚合成白皮杉醇

2.通過白藜蘆醇合成白皮杉醇

合成路線僅供參考