基本信息:
中文名稱 1,3-二甲基-1H-吡唑-4-硼酸頻哪醇酯
中文別名 1,3-二甲基-1H-吡唑-4-硼酸頻那醇酯;
英文名稱 1,3-Dimethyl-4-(4,4,5,5-tetramethyl-1,3,2-dioxaborolan-2-yl)-1H-pyrazole
英文別名 1,3-dimethyl-4-(4,4,5,5-tetramethyl-1,3,2-dioxaborolan-2-yl)pyrazole;
CAS號 1046832-21-6
合成路線:
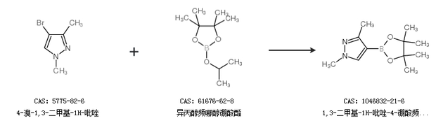
1.通過4-溴-1,3-二甲基-1H-吡唑和異丙醇頻哪醇硼酸酯合成1,3-二甲基-1H-吡唑-4-硼酸頻哪醇酯

2.通過4-溴-1,3-二甲基-1H-吡唑和聯(lián)硼酸頻那醇酯合成1,3-二甲基-1H-吡唑-4-硼酸頻哪醇酯

合成路線僅供參考