基本信息:
中文名稱 丙基三甲氧基硅烷
中文別名 三甲氧基(丙基)硅烷;正丙基三甲氧基硅烷;
英文名稱 Trimethoxy(propyl)silane
英文別名 trimethoxy(propyl)silane;Trimethoxypropylsilane;TriMethoxy(propyl)silane;Propyltrimethoxysilane;
CAS號(hào) 1067-25-0
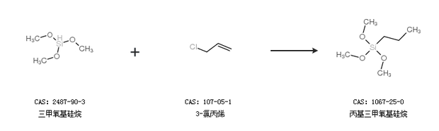
合成路線:
1.通過(guò)三甲氧基硅烷合成丙基三甲氧基硅烷,收率約85%;

2.通過(guò)三甲氧基硅烷和3-氯丙烯合成丙基三甲氧基硅烷

合成路線僅供參考