基本信息:
中文名稱 4-乙?;脚鹚?br>中文別名 對乙酰苯基硼酸;對醛基苯硼酸;4-乙酰苯基硼酸;4-乙酰苯硼酸;
英文名稱 4-Acetylphenylboronic acid
英文別名 4-Acetylphenylboronic Acid;4-Acetylbenzeneboronic Acid;(4-acetylphenyl)boronic acid;
CAS號 149104-90-5
合成路線:
1.通過4-(1-羥基乙基)苯硼酸合成4-乙?;脚鹚?,收率約91%;

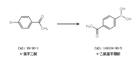
2.通過4-溴苯乙酮合成4-乙?;脚鹚?br>

合成路線僅供參考