基本信息:
中文名稱 N,N-二羥乙基甘氨酸
中文別名 N,N- 二-羥乙基甘氨酸;N,N-雙(2-羥乙基)甘氨酸;N,N-二-羥乙基甘氨酸;二羥乙甘胺酸;二乙醇甘氨酸;N,N-雙(2-羥乙基)甘氨酸(Bicine);N,N-二(2-羥乙基)甘氨酸;N-二(2-羥乙基)甘氨酸;
英文名稱 N,N-bis(2-hydroxyethyl)glycine
英文別名 Diethanol glycine;N,N-Di(2-hydroxyethyl)glycine;Bicine;BICINE buffer;Dihydroxyethylglycine;Diethylolglycine;2-[bis(2-hydroxyethyl)amino]acetic acid;Bicene;N,N-Di(2-hydroxyethyl)glycine [Good''s buffer component;N,N-Bis(2-hydroxyethyl)glycine;BICINE[N,N-Di(2-hydroxyethyl)glycine];N,N-Bis(2-hydroxyethyl)glycine,BICINE,PEG Grid Screening;Diethanolglycine;N,N-Bis(2-hydroxyethyl)glycine (Bicine);N,N-Dihydroxyethyl glycine;
CAS號(hào) 150-25-4
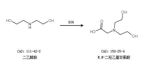
合成路線:
1.通過溴乙酸甲酯和二乙醇胺合成N,N-二羥乙基甘氨酸

2.通過二乙醇胺合成N,N-二羥乙基甘氨酸,收率約93%;

合成路線僅供參考