基本信息:
中文名稱 二苯基磷酸
中文別名 二苯基次膦酸;二苯膦酸;二苯基膦酸;
英文名稱 diphenylphosphinic acid
英文別名 EINECS 216-948-5;diphenyl-phosphinic acid;PHOSPHINIC ACID,DIPHENYL;Diphenylphosphinic acid;diphenylphosphosphinic acid;Hydroxydiphenylphosphine oxide;
CAS號(hào) 1707-03-5
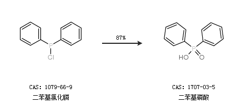
合成路線:
1.通過(guò)二苯基磷氧合成二苯基磷酸,收率約98%;

2.通過(guò)二苯基氯化膦合成二苯基磷酸,收率約87%;

合成路線僅供參考