基本信息:
中文名稱 4-溴-3-硝基苯乙酮
中文別名 4''-溴-3''-硝基苯乙酮;3-硝基-4-溴苯乙酮;1-(4-溴-3-硝基苯基)乙酮;
英文名稱 1-(4-bromo-3-nitrophenyl)ethanone
英文別名 1-(4-Bromo-3-nitrophenyl)ethanone;4-Bromo-3''-nitroacetophenone;1-bromo-2-nitro-4-acetyl-benzene;4''-Bromo-3''-nitroacetophenone;3-nitro-4-bromoacetophenone;4‘-Bromo-3‘-nitroacetophenone;
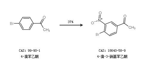
CAS號 18640-58-9
合成路線:
1.通過4-溴苯乙酮合成4-溴-3-硝基苯乙酮,收率約37%;

2.通過溴代苯合成4-溴-3-硝基苯乙酮

中華試劑網提醒:合成路線僅供參考