基本信息:
中文名稱(chēng) 1-庚烷磺酸鈉
中文別名 庚烷磺酸鈉;正庚烷磺酸鈉;庚烷-1-磺酸鈉鹽;
英文名稱(chēng) sodium,heptane-1-sulfonate
英文別名 1-heptanesulfonic acid,sodium salt;sodium heptane-sulphonate;Sodium heptane-1-sulfonate;sodium heptane-1-sulfonate;Heptylsulfonic Acid Sodium Salt;1-Heptanesulfonic Acid Sodium Salt;1-Heptanesulfonic acid,sodium salt;Sodium 1-heptanesulfonate monohydrate;1-Heptanesulfonic acid sodium salt monohydrate;n-heptanesulfonic acid sodium salt;SodiuM 1-Heptanesulfonate;1-Heptanesulfonic acid sodium;Sodium 1-heptanesulfonate;sodium n-heptanesulfonate;sodium heptane-1-sulphonate;
CAS號(hào) 22767-50-6
合成路線:
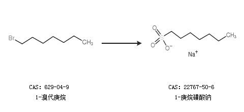
1.通過(guò)1-溴代庚烷合成1-庚烷磺酸鈉

2.通過(guò)1-氯庚烷合成1-庚烷磺酸鈉

合成路線僅供參考