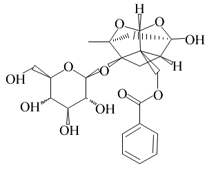
基本信息:
中文名稱 芍藥苷
中文別名 芍藥甙;芍藥甙;
英文名稱 Paeoniflorin
英文別名 Paeony root;PAEONIFLORIN(P);peoniflorin;Delmacinone;Paeonia lactiflora P,E,;PACLITAXEL;Paeonia moutan;Paeoniflorm;,Peoniflorin;paeoniflorine;
CAS號 23180-57-6
合成路線:
1.通過2,3,4,6-四-O-苯基-Alpha-D-吡喃葡萄糖基三氯乙酰亞氨酸合成芍藥苷

合成路線僅供參考