基本信息:
中文名稱 1-丁烷磺酸鈉
中文別名 丁烷磺酸鈉;正丁烷磺酸鈉;丁烷-1-磺酸鈉鹽;
英文名稱 sodium,butane-1-sulfonate
英文別名 1-Butanesulfonic acid sodium salt;SodiuM 1-Butanesulfonate;IPC-ALKS-4;Sodium butane-1-sulfonate;sodium 1-butanesulfonate;1-Butanesulfonic acid,sodium salt;sodium butanesulfonate;Sodium butylsulfonate;sodium butane-1-sulfonate;Sodium butane-1-sulphonate;
CAS號 2386-54-1
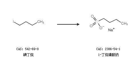
合成路線:
1.通過正溴丁烷合成1-丁烷磺酸鈉

2.通過碘丁烷合成1-丁烷磺酸鈉

合成路線僅供參考