基本信息:
中文名稱 L-谷胱甘肽
中文別名 谷胱甘肽氧化型;L-谷胱甘肽,氧化型;氧化谷胱甘肽;N-(N-L-γ-谷胺酰基-L-半胱胺?;?甘氨酸-2,2-二硫化物;氧化型谷胱胺肽;谷胱甘肽(氧化型);奧谷胱甘肽;
英文名稱 glutathione disulfide
英文別名 GSSC;Glutathiol,GSSG;oxigluthione;GSH disulfide;Oxyglutatione;oxidized glutathione;L(-)-Glutathione;L-Glutathione oxidized;glutathione-ssg;glutathione oxidized form;glutathonedisulfide;Glutathiol;glutathione oxidized;Oxiglutatione;GSSG oxidized form;Glutathione oxidized form;GSSG,Glutathiol;GSSG;
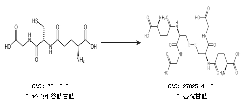
CAS號(hào) 27025-41-8
合成路線:
1.通過(guò)L-還原型谷胱甘肽合成L-谷胱甘肽,收率約99%;

2.通過(guò)L-還原型谷胱甘肽合成L-谷胱甘肽

合成路線僅供參考