基本信息:
中文名稱 異麥芽三糖
中文別名 α-D-葡糖基-[1→6]-α-D-葡糖基-[1→6]-D-葡萄糖;Α-D-葡萄糖基-[1→6]-Α-D-葡萄糖基-[1→6]-D-葡萄糖;
英文名稱 isomaltotriose
英文別名 (3R,4S,5S,6R)-6-[[(2S,3R,4S,5S,6R)-3,4,5-trihydroxy-6-[[(2S,3R,4S,5S,6R)-3,4,5-trihydroxy-6-(hydroxymethyl)oxan-2-yl]oxymethyl]oxan-2-yl]oxymethyl]oxane-2,3,4,5-tetrol;Isomaltotriose;IsoMaltotriose;I0329;
CAS號 3371-50-4
合成路線:
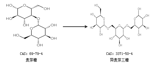
1.通過麥芽糖合成異麥芽三糖

2.通過麥芽糖合成異麥芽三糖

合成路線僅供參考