基本信息:
中文名稱 4-硝基苯磷酸二鈉
中文別名 對硝基苯磷酸二鈉鹽;對硝基苯磷酸二鈉,六水合物;對硝基苯磷酸鈉六水合物;4-硝基苯基磷基二鈉鹽六水合物;5-磷酸硝基苯二鈉鹽;對硝基苯磷酸二鈉;4-硝基苯基磷酸二鈉鹽六水物;對硝基苯磷酸二鈉;4-硝基苯基磷;對硝基苯磷酸二鈉,六水合物;4-硝基苯基磷酸二鈉六水合物;
英文名稱 Disodium 4-nitrophenylphosphate
英文別名 p-Nitrophenyl Phosphate Liquid Substrate System;Sodium 4-nitrophenyl phosphate;4-Nitrophenyl phosphate disodium salt;4-Nitrophenyl phosphate,disodium salt,hexahydrate;4-Nitrophenyl phosphate disodium salt hexahydrate;disodium,(4-nitrophenyl) phosphate;4-Nitrophenylphosphoric Acid Disodium Salt;
CAS號 4264-83-9
合成路線:
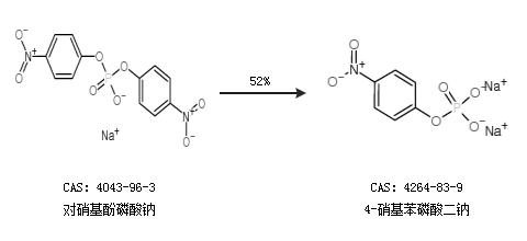
1.通過對硝基酚磷酸鈉合成4-硝基苯磷酸二鈉,收率約52%;

合成路線僅供參考