基本信息:
中文名稱 4''-氨基-4-氰基聯(lián)苯
中文別名 4-(4-氨基苯基)苯甲腈;4-氨基-4''-二苯基氰;4-氨基-4''-氰基聯(lián)苯;4''-氨基聯(lián)苯-4-甲腈;4’-氨基-4-氰基聯(lián)苯;
英文名稱 4''-Aminobiphenyl-4-carbonitrile
英文別名 4''-AMINO(1,1''-BIPHENYL)-4-CARBONITRILE;4-(4-aminophenyl)benzonitrile;4-Amino-4''-cyanobiphenyl;4''-Amino-[1,1''-biphenyl]-4-carbonitrile;4-Amino-4''-cyanodiphenyl;
CAS號(hào) 4854-84-6
合成路線:
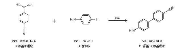
1.通過(guò)4-氰基苯硼酸和4-溴苯胺合成4''-氨基-4-氰基聯(lián)苯,收率約86%;

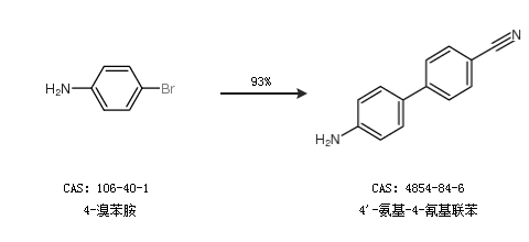
2.通過(guò)4-溴苯胺合成4''-氨基-4-氰基聯(lián)苯,收率約93%;

中華試劑網(wǎng)提醒:合成路線僅供參考