基本信息:
中文名稱 2-氯-2'',4''-二氟苯乙酮
中文別名 2''-氯-2,4-二氟苯乙酮;2,4-二氟-α-氯代苯乙酮;2,4-二氟-Alpha-氯代苯乙酮;2-氯-2,4-二氟苯乙酮;
英文名稱 2-Chloro-2'',4''-difluoroacetophenone
英文別名 2-Chloro-1-(2,4-difluorophenyl)ethanone;2,4-Difluorophenacyl Chloride;2-chloro-1-(2,4-difluorophenyl)ethanone;
CAS號(hào) 51336-94-8
合成路線:
1.通過1,3-二氟苯和一氯代乙酰氯合成2-氯-2'',4''-二氟苯乙酮,收率約96%;

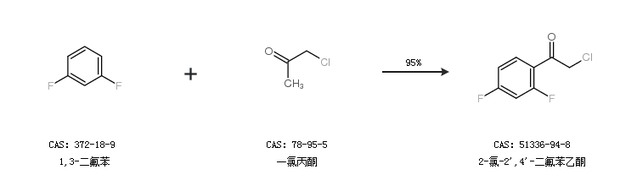
2.通過1,3-二氟苯和一氯丙酮合成2-氯-2'',4''-二氟苯乙酮,收率約95%;

中華試劑網(wǎng)提醒:合成路線僅供參考