基本信息:
中文名稱 5-芐基-N-Cbz-L-谷氨酸酯
中文別名 N-Cbz-L-谷氨酸-5-芐基酯;芐氧羰基-谷氨酸γ芐脂;N-芐氧羰基-L-谷氨酸5-芐酯;N-羰基苯甲?;?L-谷氨酸-5-芐酯;Cbz-L-谷氨酸-5-芐酯;N-芐氧羰基-L-谷氨酸-5-芐脂;
英文名稱 5-Benzyl <i>N</i>-Carbobenzoxy-<small>L</small>-glutamate
英文別名 (2S)-5-oxo-5-phenylmethoxy-2-(phenylmethoxycarbonylamino)pentanoic acid;
CAS號 5680-86-4
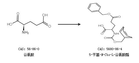
合成路線:
1.通過L-谷氨酸 γ-芐酯和氯甲酸芐酯合成5-芐基-N-Cbz-L-谷氨酸酯,收率約90%;

2.通過谷氨酸合成5-芐基-N-Cbz-L-谷氨酸酯

合成路線僅供參考