基本信息:
中文名稱 蔗糖
中文別名 蔗糖丁烯酯;白砂糖;砂糖;β-D-呋喃果糖基-α-D-吡喃葡萄苷;D-(+)-蔗糖;α-D-Glc-(1→2)-β-D-Fru;
英文名稱 sucrose
英文別名 Surose;D(+)-Sucrose;Microse;Sugartab;amerfand;SUCROSE;Amerfond;SUGAR;Micr;sugar powder;GNE 410;SACCHARUM;
CAS號(hào) 57-50-1
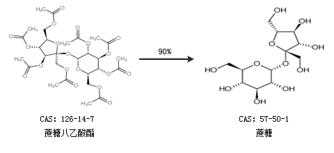
合成路線:
1.通過蔗糖八乙酸酯合成蔗糖,收率約90%;

2.通過2,3,4,6-四-o-芐基-D-吡喃葡萄糖合成蔗糖

合成路線僅供參考