基本信息:
中文名稱 1,6-二羥基萘
中文別名 1,6一二羥基萘;1,6-萘二酚;2,5-二羥基萘;
英文名稱 naphthalene-1,6-diol
英文別名 1,6-dihydroxy-naphthalene;1,6-Dihydroxynaphtalene;1,6-Dihydroxynaphthalene;1,6-NAPHTHALENEDIOL;4,7-dihydroxynaphthalene;1,6-NAPTHTALENEDIOL;6-Hydroxy-1-naphthol;2,5-DIHYDROXYNAPHTHALENE;2,5-Naphthalenediol;
CAS號 575-44-0
合成路線:
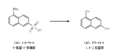
1.通過5-氨基-2-萘磺酸合成1,6-二羥基萘

2.通過2-萘胺-1,5-二磺酸合成1,6-二羥基萘

合成路線僅供參考