基本信息:
中文名稱 溴百里酚藍(lán)
中文別名 溴百里香酚蘭;溴麝香草酚藍(lán);3'',3''''-二溴麝香草酚磺酞;溴百里香酚藍(lán)(BTB);3,3''-二溴麝香草酚磺酰酞;3'',3''''-二溴百里酚磺酞;溴百里香酚藍(lán);
英文名稱 bromothymol blue
英文別名 ;Bromothymol Blue;3'',3''''-Dibromothymolsulfonphthalein;2-bromo-4-[3-(3-bromo-4-hydroxy-2-methyl-5-propan-2-ylphenyl)-1,1-dioxo-2,1λ<sup>6</sup>-benzoxathiol-3-yl]-3-methyl-6-propan-2-ylphenol;
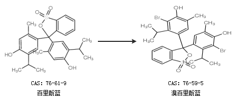
CAS號 76-59-5
合成路線:
1.通過百里酚藍(lán)合成溴百里酚藍(lán)

2.通過百里酚合成溴百里酚藍(lán)

合成路線僅供參考