基本信息:
中文名稱 氟羅沙星
中文別名 6,8-二氟-1-(2-氟乙基)-1,4-二氫-7-(4-甲基-1-哌嗪基)-4-氧-3-喹啉羧酸;三氟沙星;多氟沙星;6,8-二氟-1-(2-氟乙基)-7-(4-甲基-1-哌嗪基)-1,4-二氫-4-氧代-3-喹啉羧酸;沃爾得片;多氟哌酸;
英文名稱 Fleroxacin
英文別名 hyl-1-piperazinyl)-4-oxo;MEGALONE;6,8-difluoro-1-(2-fluoro-ethyl)-1,4-dihydro-7-(4-methyl-1-piperazinyl)-4-oxo-3-quinolinecarboxylic acid;6,8-difluoro-1-(2-fluoroethyl)-7-(4-methylpiperazin-1-yl)-4-oxoquinoline-3-carboxylic acid;MEGALOCIN;RO-23-6240;AM-833;QUINODIS;ro23-6240/000;3-quinolinecarboxylicacid,1,4-dihydro-6,8-difluoro-1-(2-fluoroethyl)-7-(4-met;6,8-difluoro-1-(2-fluoroethyl)-1,4-dihydro-7-(4-methyl-1-piperazinyl)-4-oxoquinoline-3-carboxylic acid;6,8-difluoro-1-(2-fluoroethyl)-1,4-dihydro-4-oxo-7-(4-methyl-1-piperazinyl)-quinoline-3-carboxylic acid;
CAS號 79660-72-3
合成路線:
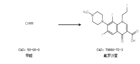
1.通過甲醛合成氟羅沙星

合成路線僅供參考