基本信息:
中文名稱 2''-脫氧尿苷
中文別名 2’-脫氧尿嘧啶核苷;2’-脫氧尿苷;2''-脫氧尿嘧啶核苷;1-(2-Deoxy-β-D-ribofuranosyl)uracil;2''-去氧尿苷;2''-脫氧尿甙;去氧尿嘧啶核苷;
英文名稱 2''-deoxyuridine
英文別名 [131I]-Deoxyuridine;DEOXYURIDINE-2'';2''-deoxy-uridin;2''-Deoxyuridine;deoxyuridine;1-((2R,4S,5R)-4-Hydroxy-5-(hydroxymethyl)tetrahydrofuran-2-yl)pyrimidine-2,4(1H,3H)-dione;Uracildeoxyr;2''-dU;[3H]-Deoxyuridine;Deoxy-uridin;durd;2''-DEOXYTHYMIDINE-5''-DIPHOSPHATE TRISODIUM SALT;
CAS號 951-78-0
合成路線:
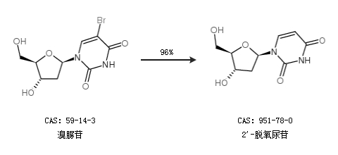
1.通過溴脲苷合成2''-脫氧尿苷,收率約96%;

2.通過嗎啉和碘苷合成2''-脫氧尿苷,收率約39%;

合成路線僅供參考