基本信息:
中文名稱 2,3-二(2-吡啶基)吡嗪
中文別名 2,3-雙(2-吡啶基)吡嗪;2,3-二-2-吡啶基吡嗪;
英文名稱 2,3-dipyridin-2-ylpyrazine
英文別名 2,3-bis(pyridyl)pyrazine;2,3-di(2-pyridyl)pyrazine;2,3-bis-(pyridin-2-yl)-pyrazine;2,3-di-pyridin-2-ylpyrazine;2,3-Bis(2-pyridyl)pyrazine;
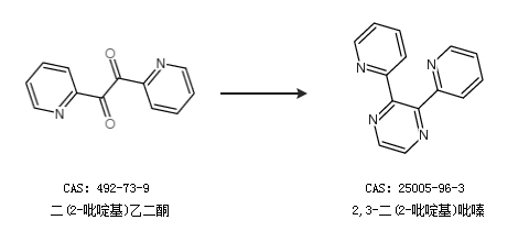
CAS號 25005-96-3
合成路線:
1.通過2,3-雙-(2-吡啶)-5,6-二氫吡嗪合成2,3-二(2-吡啶基)吡嗪

2.通過二(2-吡啶基)乙二酮合成2,3-二(2-吡啶基)吡嗪

中華試劑網(wǎng)提醒:合成路線僅供參考