基本信息:
中文名稱 9-(4-溴苯基)咔唑
中文別名 9-(4-溴苯)咔唑;9-(4-溴苯)咔唑;N-(4-溴苯基)咔唑;9-(4-溴苯基)-9H-咔唑;
英文名稱 9-(4-Bromophenyl)carbazole
英文別名 9-(4-bromophenyl)carbazole;
CAS號 57102-42-8
合成路線:
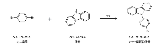
1.通過對二溴苯和咔唑合成9-(4-溴苯基)咔唑,收率約82%;

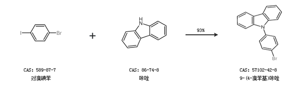
2.通過對溴碘苯和咔唑合成9-(4-溴苯基)咔唑,收率約93%;

中華試劑網(wǎng)提醒:合成路線僅供參考