基本信息:
中文名稱 3-溴-9-苯基咔唑
中文別名 3-溴-N-苯基咔唑;
英文名稱 3-Bromo-9-phenylcarbazole
英文別名 3-bromanyl-9-phenyl-carbazole;3-BROMO-N-PHENYLCARBAZOLE;3-bromo-9-phenyl-carbazole;3-bromo-9-phenyl-9H-carbazole;3-Bromo-N-Phenylcarbazole;N-phenyl-3-Bromocarbazole;3-Brom-N-phenylcarbazol;3-bromo-N-phenyl-9H-carbazole;3-Bromo-9-phenyl-9H-carbazole;
CAS號(hào) 1153-85-1
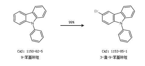
合成路線:
1.通過(guò)9-苯基咔唑合成3-溴-9-苯基咔唑,收率約99%;

2.通過(guò)碘苯合成3-溴-9-苯基咔唑

合成路線僅供參考