基本信息:
中文名稱(chēng) 2,4-二氯-5-嘧啶甲酸乙酯
中文別名 乙基 2,4-二氯嘧啶-5-羧酸酯;
英文名稱(chēng) Ethyl 2,4-Dichloro-5-pyrimidinecarboxylate
英文別名 ethyl 2,4-dichloropyrimidine-5-carboxylate;Ethyl 2,4-dichloro-5-pyrimidinecarboxylate;Ethyl 2,4-dichloropyrimidine-5-carboxylate;
CAS號(hào) 51940-64-8
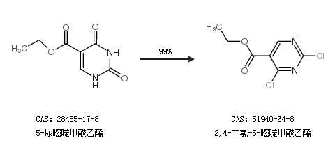
合成路線:
1.通過(guò)5-尿嘧啶甲酸乙酯合成2,4-二氯-5-嘧啶甲酸乙酯,收率約99%;

2.通過(guò)乙醇和2,4-二氯-5-嘧啶甲酰氯合成2,4-二氯-5-嘧啶甲酸乙酯,收率約10%;

合成路線僅供參考