基本信息:
中文名稱 1-(6-氯噠嗪-3-基)哌嗪
中文別名 3-氯-6-(1-哌嗪基)噠嗪;
英文名稱 3-chloro-6-piperazin-1-ylpyridazine
英文別名 3-Chloro-6-piperazinopyridazine;F2158-0579;6-chloro-3-piperazinylpyridazine;
CAS號 56392-83-7
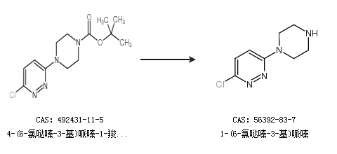
合成路線:
1.通過哌嗪和3,6-二氯噠嗪合成1-(6-氯噠嗪-3-基)哌嗪,收率約80%;

2.通過4-(6-氯噠嗪-3-基)哌嗪-1-羧酸叔丁酯合成1-(6-氯噠嗪-3-基)哌嗪

合成路線僅供參考