基本信息:
中文名稱 3,3''-聯(lián)咔唑
中文別名 3,3’-聯(lián)咔唑;
英文名稱 3-(9H-carbazol-3-yl)-9H-carbazole
英文別名 3,3''-Bicarbazole;3,3''-bicarbazolyl;2,5-BIS-TRIFLUOROMETHYLTHIOBENZAMIDE.;9H,9''H-3,3''-Bicarbazole;3,3''-dicarbazyl;
CAS號 1984-49-2
合成路線:
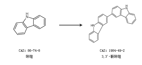
1.通過咔唑合成3,3''-聯(lián)咔唑

中華試劑網(wǎng)提醒:合成路線僅供參考