基本信息:
中文名稱 對氨基苯磺酸
中文別名 4-氨基苯磺酸;4-苯胺磺酸;磺胺酸;磺胺酸,4-氨基苯磺酸;磺胺酸;4-氨基苯磺酸;
英文名稱 4-aminobenzenesulfonic acid
英文別名 4-Aminobenzenesulfonic acid,Aniline-4-sulfonic acid;4-Sulfoaniline;Sulfanilic Acid;4-Aminobenzenesulfonic acid,Aniline-4-sulfonic acid,Sulfanilic acid;Sulfanilic acid;p-Anilinesulfonic Acid;4-Aminobenzenesulfonic acid;4-Aminobenzenesulfonic acid,Sulfanilic acid;
CAS號 121-57-3
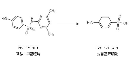
合成路線:
1.通過4-硝基苯磺酸合成對氨基苯磺酸

2.通過磺胺二甲基嘧啶合成對氨基苯磺酸

合成路線僅供參考