基本信息:
中文名稱 環(huán)草敵
中文別名 草滅特;滅草特;S-乙基-N-環(huán)己基-N-乙基硫代氨基甲酸酯;環(huán)草特;S-乙基N-環(huán)己基-N-乙基硫代氨基甲酸酯;環(huán)草滅;
英文名稱 cycloate
英文別名 Ro-Neet;S-ethyl cyclohexylethylcarbamothioate;S-ethyl ethylcyclohexylthiocarbamate;CYCLOATE;S-ethyl N-cyclohexyl-N-ethylcarbamothioate;Etsan;Ro-Neet 10G;S-ethyl N-cyclohexyl-N-ethylthiocarbamate;S-ethyl N-ethylthiocyclohexanecarbamate;Eurex;S-ethyl cyclohexyl(ethyl)carbamothioate;S-ethyl-N-ethyl-N-cyclohexylthiolcarbamate;Caswell No. 432A;S-ethyl cyclohexyl(ethyl)thiocarbamate;Ro-Neet E;Hexylthiocarbam;Ronit;Sabet;
CAS號(hào) 1134-23-2
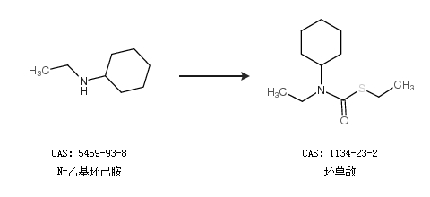
合成路線:
1.通過N-乙基環(huán)己胺合成環(huán)草敵

合成路線僅供參考