基本信息:
中文名稱 二硫化二苯并噻唑
中文別名 2,2''-二硫二苯并噻唑;橡膠促進劑DM;2,2''-二硫聯(lián)二苯并噻唑;二硫化二苯駢噻唑;藥膠DM-75;促進劑MBTS;二硫代苯并噻唑;硫化促進劑DM;促進劑DM;
英文名稱 dibenzothiazol-2-yl disulfide
英文別名 1,2-Bis(benzo[d]thiazol-2-yl)disulfane;2-(1,3-benzothiazol-2-yldisulfanyl)-1,3-benzothiazole;2,2''-Dithiobisbenzothiazole;2,2''-Dithiobis(benzothiazole);2,2''-Dibenzothiazolyl Disulfide;Perkacit MBTS;2,2-Dithiobisbenzothiazole;
CAS號 120-78-5
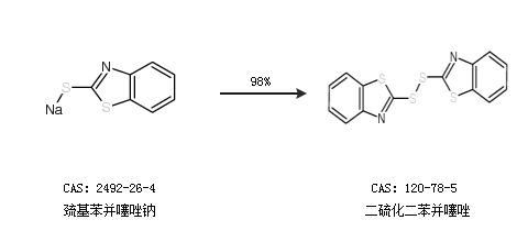
合成路線:
1.通過巰基苯并噻唑鈉合成二硫化二苯并噻唑,收率約98%;

2.通過苯亞磺酸鈉合成二硫化二苯并噻唑

合成路線僅供參考