基本信息:
中文名稱 D-谷氨酰胺
中文別名 N-甲基-D-丙氨酸;辛伐他汀;D-麩氨酰胺;D-氨羰基丁氨酸;D-谷氨酸酰胺;
英文名稱 D-glutamine
英文別名 2-amino-4-carbamoylbutanoic acid;D-Glutamic acid 5-amide;(2R)-2,5-diamino-5-oxopentanoic acid;H-D-Gln-OH;D-2-Aminoglutaramic acid;
CAS號(hào) 5959-95-5
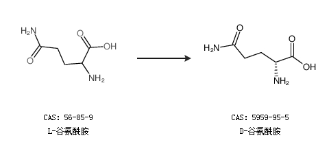
合成路線:
1.通過(guò)6-氧-1,4,5,6-四氫吡噠嗪-3-羧酸合成D-谷氨酰胺

2.通過(guò)L-谷氨酰胺合成D-谷氨酰胺

合成路線僅供參考