基本信息:
中文名稱 2-溴噻唑-4-甲酸乙酯
中文別名 乙基-2-溴噻唑-4-羧酸乙酯;2-溴-噻唑-4-甲酸乙酯;2-溴-1,3-噻唑-4-羧酸乙酯;
英文名稱 Ethyl 2-bromothiazole-4-carboxylate
英文別名 ethyl 2-bromo-1,3-thiazole-4-carboxylate;Ethyl 2-BroMothiazole-4-carboxylate;2-Bromothiazole-4-carboxylic Acid Ethyl Ester;
CAS號 100367-77-9
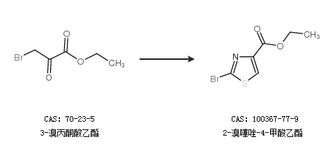
合成路線:
1.通過2-氨基噻唑-4-甲酸乙酯合成2-溴噻唑-4-甲酸乙酯,收率約75%;

2.通過3-溴丙酮酸乙酯合成2-溴噻唑-4-甲酸乙酯

中華試劑網(wǎng)提醒:合成路線僅供參考