基本信息:
中文名稱 己烷雌酚
中文別名 4,4ˊ-二羥-Γ,Δ-二苯己烷;4,4''-(1,2-二乙基亞乙基)二苯酚;己雌酚,HEXOESTROL;去氫己烯雌酚;六羥春情素;
英文名稱 HEXESTROL
英文別名 Hexron;Vitestrol;Extra-Plex;Estra-Plex;Synestrol;Synthovo;Estronal;Estrifar;meso-3,4-Bis-(4-hydroxy-phenyl)-hexan;4,4''-(1,2-Diethylethylene)diphenol;meso-3,4-bis-(4-hydroxyphenyl)hexane;(R*,S*)-4,4''-(1,2-diethyl-1,2-ethanediyl)bis-phenol;Sinestrol;
CAS號(hào) 84-16-2
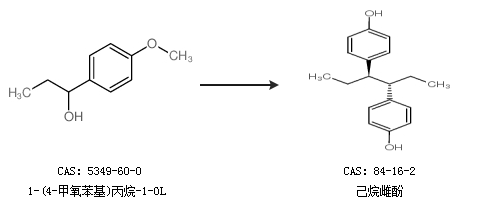
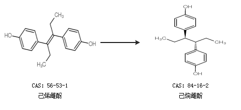
合成路線:
1.通過1-(4-甲氧苯基)丙烷-1-OL合成己烷雌酚

2.通過己烯雌酚合成己烷雌酚

中華試劑網(wǎng)提醒 合成路線僅供參考