基本信息:
中文名稱 芹菜素
中文別名 4'',5,7-三羥基黃酮;5,7,4''-三羥基黃酮;4'',5,7-三羥基黃酮;芹黃素;5,7-二羥基-2-(4-羥基苯基)-4H-苯并吡喃-4-酮;芹黃素,4'',5,7-三羥基黃酮,5,7,4''-三羥基黃酮;芹黃素;
英文名稱 apigenin
英文別名 4'',5,7-Trihydroxyflavone;Pelargidenone;Versuline;5,7-Dihydroxy-2-(4-hydroxyphenyl)-4H-chromen-4-one;Apigenin;5,7,4''-trihydroxyflavone;apigenol;Celery seed extract;CHAMOMILE;4'',5,7-trihydroxyflavone;Versulin;
CAS號 520-36-5
合成路線:
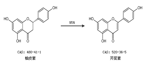
1.通過柚皮素合成芹菜素,收率約95%;

2.通過5,7,4-三甲氧基黃酮合成芹菜素,收率約89%;

中華試劑網(wǎng)提醒 合成路線僅供參考