基本信息:
中文名稱 蛇床子素
中文別名 歐芹酚甲醚,甲氧基歐芩酚,喔斯腦;王草素;甲氧基歐芹酚;7-甲氧基-8-(3-甲基-2-丁烯基)香豆素;蛇床子提取物;7-甲氧基-8-異戊烯基香豆素;
英文名稱 osthol
英文別名 7-Methoxy-8-(3-methylbut-2-en-1-yl)-2H-chromen-2-one;Cnidium;7-methoxy-8-(3-methyl-2-buten-1-yl)-2H-1-benzopyran-2-one;7-methoxy-8-(3-methylbut-2-en-1-yl)-2H-1-benzopyran-2-one;Osthol/Osthole;DaMiana Extract;Cnidium Monnieri Extract;7-Methoxy-8-(3-methyl-2-buten-1-yl)-2H-chromen-2-one;OSTHOL;7-Methoxy-8-(3-methyl-2-butenyl)coumarin;7-methoxy-8-(3-methylbut-2-enyl)-2H-chromen-2-one;Ostole;7-methoxy-8-(3-methylbut-2-enyl)chromen-2-one;Osthole;Chuanxiongzine;Ostol;7-Methoxy-8-isopentenylcoumarin;7-Methoxy-8-(3-methyl-2-butenyl)coumarin,7-Methoxy-8-isopentenylcoumarin,Osthol;7-methoxy-8-isopentenoxycoumarin;
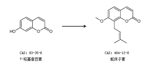
CAS號(hào) 484-12-8
合成路線:
1.通過3-氯-3-甲基-1-丁烯合成蛇床子素,收率約75%;

2.通過7-羥基香豆素合成蛇床子素

合成路線僅供參考