基本信息:
中文名稱 野黃芩苷
中文別名 高黃芩甙;野黃芩甙;野黃芩甙;燈盞花乙素;燈盞花乙素;
英文名稱 scutellarin
英文別名 5,6-Dihydroxy-2-(4-hydroxyphenyl)-4-oxo-4H-1-benzopyran-7-yl-β-D-glucopyranosiduronic acid;Scutellarin;Scutellarein 7-b-D-glucuronide;Breviscapin Scutellarein-7-O-β-D-glucuronide;7-(β-D-Glucopyranuronosyloxy)-5,6-dihydroxy-2-(4-hydroxyphenyl)-4H-1-benzopyran-4-one;Scutellarein 7-;
CAS號 27740-01-8
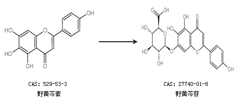
合成路線:
1.通過野黃芩素合成野黃芩苷

合成路線僅供參考