基本信息:
中文名稱 4,4''-二(9-咔唑)聯(lián)苯
中文別名 4,4’-二(9-咔唑)聯(lián)苯;4,4''-雙(N-咔唑)-1,1''-聯(lián)苯;4,4-二(9-咔唑)聯(lián)苯;
英文名稱 4,4''-Bis(N-carbazolyl)-1,1''-biphenyl
英文別名 4,4''-Bis(9-carbazolyl)-1,1''-biphenyl;9-[4-(4-carbazol-9-ylphenyl)phenyl]carbazole;
CAS號 58328-31-7
合成路線:
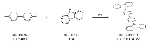
1.通過4,4-二碘聯(lián)苯和咔唑合成4,4''-二(9-咔唑)聯(lián)苯,收率約97%;

2.通過4,4-二溴聯(lián)苯合成4,4''-二(9-咔唑)聯(lián)苯,收率約47%;

中華試劑網(wǎng)提醒 合成路線僅供參考