基本信息:
中文名稱 苯并-15-冠醚-5
中文別名 苯并-15-冠-5;苯并-15-冠-5,2,3,5,6,8,9,11,12-八氫-1,4,7,10,13-苯并五氧(雜)環(huán)十五烯;苯并-15-冠5-醚;2,3-苯并-1,4,7,10,13-五氧雜環(huán)十五-2-烯;苯-15-框-5-乙醚;2,3,5,6,8,9,11,12-八氫-1,4,7,10,13-苯并五氧(雜)環(huán)十五烯;
英文名稱 benzo-15-crown-5
英文別名 Benzo-15-crown-5;2,5,8,11,14-pentaoxabicyclo[13.4.0]nonadeca-1(19),15,17-triene;Benzo-15-crown 5-Ether;2,3,5,6,8,9,11,12-Octahydrobenzo[b][1,4,7,10,13]pentaoxacyclopentadecine;2,3-Benzo-1,4,7,10,13-pentaoxacyclopentadec-2-ene;
CAS號 14098-44-3
合成路線:
1.通過雙[2-(2-氯化乙氧基)乙基]醚和鄰苯二酚合成苯并-15-冠醚-5,收率約63%;

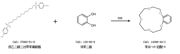
2.通過四乙二醇二對甲苯磺酸酯和鄰苯二酚合成苯并-15-冠醚-5,收率約59%;

合成路線僅供參考