基本信息:
中文名稱 二(三叔丁基膦)鈀
中文別名 二(三-叔-丁基膦)鈀;二(三-t-丁基膦)鈀(0);二(三-叔-丁基膦)鈀(0);雙(三叔丁基膦)鈀(0);
英文名稱 Bis(tri-tert-butylphosphine)palladium(0)
英文別名 palladium,tritert-butylphosphane;Pd(t-Bu3P)2;
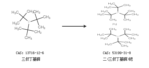
CAS號(hào) 53199-31-8
合成路線:
1.通過三叔丁基膦合成二(三叔丁基膦)鈀,收率約81%;

2.通過三叔丁基膦合成二(三叔丁基膦)鈀

中華試劑網(wǎng)提醒:合成路線僅供參考