基本信息:
中文名稱 漢防己甲素
中文別名 (S,S)-(+)-粉防已堿;(1β)-6,6'',7,12-Tetramethoxy-2,2''-dimethylberbaman;粉防己堿;
英文名稱 D-Tetrandrine
英文別名 sinomeninea;TETRANDRIN;Tetrandrine;hanfangchin A;fanchinine;Trandrine;Conba;Jinake;6,6'',7,12-tetramethoxy-2,2''-dimethyl-berbaman;
CAS號 518-34-3
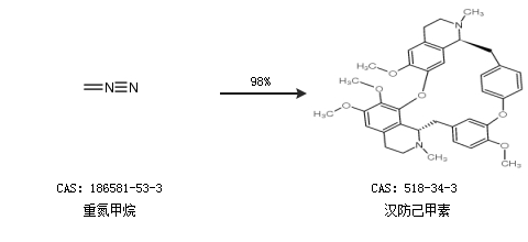
合成路線:
1.通過重氮甲烷合成漢防己甲素,收率約98%;

合成路線僅供參考