基本信息:
中文名稱 Fmoc-L-蘇氨酸
中文別名 N-(9-芴甲氧羰基)-L-蘇氨酸一水合物;N-[(9H-芴-9-基甲氧基)羰基]-L-蘇氨酸一水合物;芴甲氧羰基-L-蘇氨酸;N-芴甲氧羰基-L-蘇氨酸;
英文名稱 2-(9H-Fluoren-9-ylmethoxycarbonylamino)-3-hydroxy-butanoic acid
英文別名 N-Fmoc-L-threonine-OH;Fmoc-Thr-OH;FMOC-L-THREONINE;FMOC-THR;FMOC-L-THR-OH;Fmoc-Threonine-OH;FMOC-THR-OH H2O;Fmoc-threonine;FMOC-L-THR-OH H2O;FMOC-THR-OH;N-FMOC-L-THREONINE;
CAS號 73731-37-0
合成路線:
1.通過L-蘇氨酸和9-芴甲基-N-琥珀酰亞胺基碳酸酯合成Fmoc-L-蘇氨酸,收率約99%;

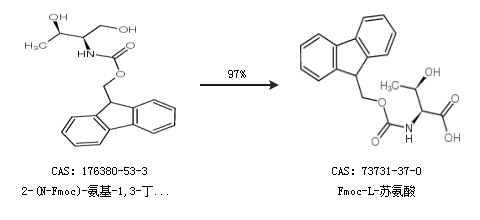
2.通過2-(N-Fmoc)-氨基-1,3-丁二醇合成Fmoc-L-蘇氨酸,收率約97%;

中華試劑網(wǎng)提醒 合成路線僅供參考