基本信息:
中文名稱 CBZ-L-纈氨酸
中文別名 N-羰芐氧基-L-纈氨酸;N-芐氧基羰基-L-纈氨酸;N-Cbz-L-纈氨酸;N-芐氧羰基-L-纈氨酸;Z-L-纈氨酸;Cbz-L-纈氨酸;Z-纈氨酸;N-芐氧羰?;?L-纈氨酸;苯甲氧羰基-L-纈氨酸;羰芐氧基-L-纈氨酸;
英文名稱 N-Carbobenzyloxy-L-valine
英文別名 N-CBZ-L-Valine;N-Carbobenzoxy-L-valine;Carbobenzyloxy-L-valine;(2S)-3-methyl-2-(phenylmethoxycarbonylamino)butanoic acid;
CAS號(hào) 1149-26-4
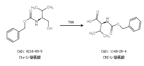
合成路線:
1.通過(guò)L-纈氨酸和氯甲酸芐酯合成CBZ-L-纈氨酸,收率約99%;

2.通過(guò)Cbz-L-纈氨醇合成CBZ-L-纈氨酸,收率約79%;

合成路線僅供參考