基本信息:
中文名稱 8-溴腺苷
中文別名 6-氨基-8-溴代嘌呤核苷;8-溴膘苷;
英文名稱 8-BROMOADENOSINE
英文別名 6-AMINO-8-BROMOPURINE RIBOSIDE;6-Amino-8-bromopurine riboside;8-Bromoadenine-9-β-D-ribofuranoside;(2R,3R,4S,5R)-2-(6-Amino-8-bromo-9H-purin-9-yl)-5-(hydroxymethyl)tetrahydrofuran-3,4-diol;8-Br-A;8-bromo-adenosine;8-BROMO-D-ADENOSINE;
CAS號(hào) 2946-39-6
合成路線:
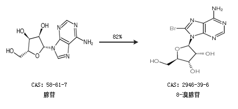
1.通過腺苷合成8-溴腺苷,收率約82%;

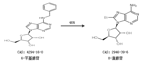
2.通過6-芐基腺苷合成8-溴腺苷,收率約46%;

中華試劑網(wǎng)提醒 合成路線僅供參考