基本信息:
中文名稱 商陸皂苷元
英文名稱 Phytolaccagenin
英文別名 2-carbomethoxy-10,11-dihydroxy-2,6a,6b,9,12a-pentamethyl-9-methylol-1,3,4,5,6,6a,7,8,8a,10,11,12,13,14b-tetradecahydropicene-4a-carboxylic acid;Jaligonic acid 30-methyl ester;
CAS號(hào) 1802-12-6
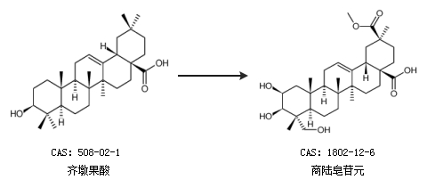
合成路線:
1.通過齊墩果酸合成商陸皂苷元

合成路線僅供參考