基本信息:
中文名稱 1-金剛烷硫脲
中文別名 1-(1-金剛烷基)硫脲;
英文名稱 1-ADAMANTYLTHIOUREA
英文別名 adamantan-1-yl-thiourea;1-(1-adamantyl)-2-thiourea;(1-Adamantyl)-thioharnstoff;Adamantyl(1)-thioharnstoff;1-adamantan-1-ylthiourea;F3195-0085;N-(1-Adamantyl)thiourea;
CAS號 25444-82-0
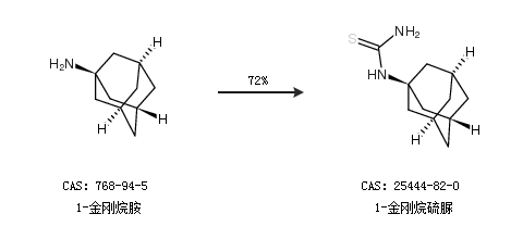
合成路線:
1.通過硫氰酸鉀和鹽酸金剛烷胺合成1-金剛烷硫脲,收率約73%;

2.通過1-金剛烷胺合成1-金剛烷硫脲,收率約72%;

合成路線僅供參考