基本信息:
中文名稱 7,8-二羥基黃酮
英文名稱 7,8-DIHYDROXYFLAVONE
英文別名 7,8-dihydroxy-2-phenylchromen-4-one;7,8-Dihydroxy-2-phenyl-4H-chromen-4-one;7,8-Dihydroxyflavone;7,8-Dihydroxyflavone Hydrate;
CAS號(hào) 38183-03-8
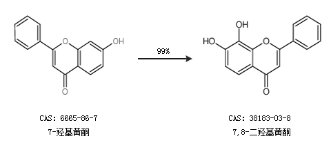
合成路線:
1.通過7-羥基黃酮合成7,8-二羥基黃酮,收率約99%;

2.通過2,3,4-三羥基苯乙酮合成7,8-二羥基黃酮

合成路線僅供參考