基本信息:
中文名稱 N,N''-二對甲苯基聯(lián)苯胺
中文別名 N,N-二間甲苯基聯(lián)苯胺;
英文名稱 N,N''-Di-p-tolylbenzidine
英文別名 N,N′-Di-p-tolylbenzidine;4-methyl-N-[4-[4-(4-methylanilino)phenyl]phenyl]aniline;N4,N4''-Di-p-tolyl-[1,1''-biphenyl]-4,4''-diamine;N,N''-Bis(4-methylphenyl)benzidine;
CAS號 10311-61-2
合成路線:
1.通過4,4-二碘聯(lián)苯和對甲苯胺合成N,N''-二對甲苯基聯(lián)苯胺,收率約40%;

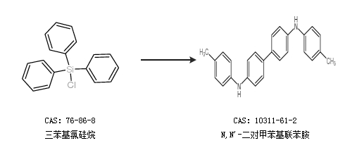
2.通過三苯基氯硅烷合成N,N''-二對甲苯基聯(lián)苯胺

合成路線僅供參考