基本信息:
中文名稱 4,4''-二溴三苯胺
中文別名 N,N-雙(4-溴苯基)苯胺;二溴三苯胺;4,4-二溴三苯胺;
英文名稱 4,4''-Dibromotriphenylamine
英文別名 4-bromo-N-(4-bromophenyl)-N-phenylaniline;
CAS號(hào) 81090-53-1
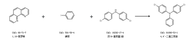
合成路線:
1.通過三苯胺合成4,4''-二溴三苯胺,收率約98%;

2.通過1,10-菲羅啉、碘苯和雙(4-溴苯基)胺合成4,4''-二溴三苯胺

中華試劑網(wǎng)提醒 合成路線僅供參考