基本信息:
中文名稱 2-氨基-6-氯-4-二乙基胺嘧啶
中文別名 2-氨基-6-氯-4-二乙氨基嘧啶;
英文名稱 6-chloro-4-N,4-N-diethylpyrimidine-2,4-diamine
英文別名 6-Chloro-N*4*,N*4*-diethyl-pyrimidine-2,4-diamine;N4,N4-diethyl-6-chloro-pyrimidine-2,4-diyldiamine;(2-amino-6-chloropyrimidin-4-yl)diethylamine;N4,N4-Diaethyl-6-chlor-pyrimidin-2,4-diyldiamin;6-chloro-N4,N4-diethyl-2,4-pyrimidinediamine;2-amino-4-diethylamino-6-chloropyrimidine;2-Amino-6-chloro-4-(diethylamino)pyrimidine;
CAS號 116895-09-1
合成路線:
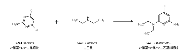
1.通過2-氨基-4,6-二氯嘧啶和二乙胺合成2-氨基-6-氯-4-二乙基胺嘧啶

中華試劑網(wǎng)提醒:合成路線僅供參考