基本信息:
中文名稱 1-丁基膦酸二乙酯
英文名稱 1-diethoxyphosphorylbutane
英文別名 diethyl butylphosphonite;diethyl butane-1-phosphonate;n-butylphosphonic acid diethyl ester;Diethyl butylphosphonate;diethyl n-butylphosphonate;Diethyl-butylphosphonat;Diethyl 1-butylphosphonate;butyldiethylphosphonate;P-Butyl-Phosphonic Acid Diethyl Ester;Diethyl n-butanephosphonate;
CAS號 2404-75-3
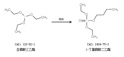
合成路線:
1.通過亞磷酸三乙酯合成1-丁基膦酸二乙酯,收率約86%;

2.通過正溴丁烷和亞磷酸三乙酯合成1-丁基膦酸二乙酯,收率約93%;

中華試劑網(wǎng)提醒:合成路線僅供參考